Bájatelo

ON THE ELECTRODYNAMICS OF MOVING BODIES
BY A. EINSTEIN
June 30, 1905
It is known that Maxwell's electrodynamics--as usually understood at
the present time--when applied to moving bodies, leads to asymmetries
which do not appear to be inherent in the phenomena. Take, for
example, the reciprocal electrodynamic action of a magnet and a
conductor. The observable phenomenon here depends only on the
relative motion of the conductor and the magnet, whereas the customary
view draws a sharp distinction between the two cases in which either
the one or the other of these bodies is in motion. For if the magnet
is in motion and the conductor at rest, there arises in the
neighbourhood of the magnet an electric field with a certain definite
energy, producing a current at the places where parts of the
conductor are situated. But if the magnet is stationary and the
conductor in motion, no electric field arises in the neighbourhood of
the magnet. In the conductor, however, we find an electromotive
force, to which in itself there is no corresponding energy, but which
gives rise--assuming equality of relative motion in the two cases
discussed--to electric currents of the same path and intensity as those
produced by the electric forces in the former case.
Examples of this sort, together with the unsuccessful attempts to
discover any motion of the earth relatively to the "light medium,''
suggest that the phenomena of electrodynamics as well as of mechanics
possess no properties corresponding to the idea of absolute rest.
They suggest rather that, as has already been shown to the first order
of small quantities, the same laws of electrodynamics and optics will
be valid for all frames of reference for which the equations of
mechanics hold
good.


We will raise this conjecture (the purport of
which will hereafter be called the "Principle of Relativity'') to the
status of a postulate, and also introduce another postulate, which is
only apparently irreconcilable with the former, namely, that light is
always propagated in empty space with a definite velocity

which is
independent of the state of motion of the emitting body. These two
postulates suffice for the attainment of a simple and consistent
theory of the electrodynamics of moving bodies based on Maxwell's
theory for stationary bodies. The introduction of a "luminiferous
ether" will prove to be superfluous inasmuch as the view here to be
developed will not require an "absolutely stationary space" provided
with special properties, nor assign a velocity-vector to a point of
the empty space in which electromagnetic processes take place.
The theory to be developed is based--like all electrodynamics--on the
kinematics of the rigid body, since the assertions of any such theory
have to do with the relationships between rigid bodies (systems of
co-ordinates), clocks, and electromagnetic processes. Insufficient
consideration of this circumstance lies at the root of the
difficulties which the electrodynamics of moving bodies at present
encounters.
Let us take a system of co-ordinates in which the equations of
Newtonian mechanics hold good.

In order to render our
presentation more precise and to distinguish this system of
co-ordinates verbally from others which will be introduced hereafter,
we call it the "stationary system.''
If a material point is at rest relatively to this system of
co-ordinates, its position can be defined relatively thereto by the
employment of rigid standards of measurement and the methods of
Euclidean geometry, and can be expressed in Cartesian co-ordinates.
If we wish to describe the
motion of a material point, we give
the values of its co-ordinates as functions of the time. Now we
must bear carefully in mind that a mathematical description of
this kind has no physical meaning unless we are quite clear as
to what we understand by "time." We have to take into account
that all our judgments in which time plays a part are always
judgments of
simultaneous events. If, for instance, I say,
"That train arrives here at 7 o'clock," I mean something like
this: "The pointing of the small hand of my watch to 7 and the
arrival of the train are simultaneous events.''
It might appear possible to overcome all the difficulties attending
the definition of "time" by substituting "the position of the small
hand of my watch" for "time." And in fact such a definition is
satisfactory when we are concerned with defining a time exclusively
for the place where the watch is located; but it is no longer
satisfactory when we have to connect in time series of events
occurring at different places, or--what comes to the same thing--to
evaluate the times of events occurring at places remote from the
watch.
We might, of course, content ourselves with time values determined by
an observer stationed together with the watch at the origin of the
co-ordinates, and co-ordinating the corresponding positions of the
hands with light signals, given out by every event to be timed, and
reaching him through empty space. But this co-ordination has the
disadvantage that it is not independent of the standpoint of the
observer with the watch or clock, as we know from experience. We
arrive at a much more practical determination along the following line
of thought.
If at the point A of space there is a clock, an observer at A can
determine the time values of events in the immediate proximity of A by
finding the positions of the hands which are simultaneous with these
events. If there is at the point B of space another clock in all
respects resembling the one at A, it is possible for an observer at B
to determine the time values of events in the immediate neighbourhood
of B. But it is not possible without further assumption to compare, in
respect of time, an event at A with an event at B. We have so far
defined only an "A time" and a "B time." We have not defined a
common "time" for A and B, for the latter cannot be defined at all
unless we establish
by definition that the "time" required by
light to travel from A to B equals the "time" it requires to travel
from B to A. Let a ray of light start at the "A time"

from A towards B, let it at the "B time"

be reflected at
B in the direction of A, and arrive again at A at the "A time''

.
In accordance with definition the two clocks synchronize
if
We assume that this definition of synchronism is free from
contradictions, and possible for any number of points; and that the
following relations are universally valid:--
1. If the clock at B synchronizes with the clock at A, the clock at A
synchronizes with the clock at B.
2. If the clock at A synchronizes with the clock at B and also with
the clock at C, the clocks at B and C also synchronize with each
other.
Thus with the help of certain imaginary physical experiments we have
settled what is to be understood by synchronous stationary clocks
located at different places, and have evidently obtained a definition
of "simultaneous," or "synchronous," and of "time." The "time" of an
event is that which is given simultaneously with the event by a
stationary clock located at the place of the event, this clock being
synchronous, and indeed synchronous for all time determinations, with
a specified stationary clock.
In agreement with experience we further assume the quantity
to be a universal constant--the velocity of light in empty space.
It is essential to have time defined by means of stationary clocks in
the stationary system, and the time now defined being appropriate to
the stationary system we call it "the time of the stationary system.''
The following reflexions are based on the principle of relativity and
on the principle of the constancy of the velocity of light. These two
principles we define as follows:--
1. The laws by which the states of physical systems undergo change
are not affected, whether these changes of state be referred to the
one or the other of two systems of co-ordinates in uniform translatory
motion.
2. Any ray of light moves in the "stationary" system of co-ordinates
with the determined velocity

, whether the ray be emitted by a
stationary or by a moving body. Hence
where time interval is to be taken in the sense of the definition in § 1.
Let there be given a stationary rigid rod; and let its length be

as measured by a measuring-rod which is also stationary. We
now imagine the axis of the rod lying along the axis of

of
the stationary system of co-ordinates, and that a uniform motion
of parallel translation with velocity

along the axis of

in the direction of increasing

is then imparted to the rod.
We now inquire as to the length of the moving rod, and imagine
its length to be ascertained by the following two operations:--
(
a) The observer moves together with the given measuring-rod and the
rod to be measured, and measures the length of the rod directly by
superposing the measuring-rod, in just the same way as if all three
were at rest.
(
b) By means of stationary clocks set up in the stationary system and
synchronizing in accordance with § 1, the observer ascertains at what
points of the stationary system the two ends of the rod to be measured
are located at a definite time. The distance between these two
points, measured by the measuring-rod already employed, which in this
case is at rest, is also a length which may be designated "the length
of the rod.''
In accordance with the principle of relativity the length to be
discovered by the operation (
a)--we will call it "the
length of the rod in the moving system''--must be equal to the
length

of the stationary rod.
The length to be discovered by the operation (
b) we will call "the
length of the (moving) rod in the stationary system." This we shall
determine on the basis of our two principles, and we shall find that
it differs from

.
Current kinematics tacitly assumes that the lengths determined
by these two operations are precisely equal, or in other words,
that a moving rigid body at the epoch

may in geometrical
respects be perfectly represented by
the same body
at
rest in a definite position.
We imagine further that at the two ends A and B of the rod, clocks are
placed which synchronize with the clocks of the stationary system,
that is to say that their indications correspond at any instant to the
"time of the stationary system" at the places where they happen to
be. These clocks are therefore "synchronous in the stationary
system.''
We imagine further that with each clock there is a moving
observer, and that these observers apply to both clocks the
criterion established in § 1 for the synchronization of two
clocks. Let a ray of light depart from A at the
time

, let it be reflected at B at
the time

, and reach A again at the time

. Taking into
consideration the principle of the constancy of the velocity of
light we find that
where

denotes the length of the moving rod--measured in the
stationary system. Observers moving with the moving rod would thus
find that the two clocks were not synchronous, while observers in the
stationary system would declare the clocks to be synchronous.
So we see that we cannot attach any
absolute signification to the
concept of simultaneity, but that two events which, viewed from a
system of co-ordinates, are simultaneous, can no longer be looked upon
as simultaneous events when
envisaged from a system which is in motion relatively to that system.
Let us in "stationary" space take two systems of co-ordinates,
i.e. two systems, each of three rigid material lines,
perpendicular to one another, and issuing from a point. Let the
axes of X of the two systems coincide, and their axes of Y and Z
respectively be parallel. Let each system be provided with a
rigid measuring-rod and a number of clocks, and let the two
measuring-rods, and likewise all the clocks of the two systems,
be in all respects alike.
Now to the origin of one of the two systems (

) let a constant
velocity

be imparted in the direction of the increasing

of the
other stationary system (K), and let this velocity be communicated to
the axes of the co-ordinates, the relevant measuring-rod, and the
clocks. To any time of the stationary system K there then will
correspond a definite position of the axes of the moving system, and
from reasons of symmetry we are entitled to assume that the motion of

may be such that the axes of the moving system are at the time

(this "

" always denotes a time of the stationary system) parallel to
the axes of the stationary system.
We now imagine space to be measured from the stationary system K by
means of the stationary measuring-rod, and also from the moving system

by means of the measuring-rod moving with it; and that we thus
obtain the co-ordinates

,

,

, and

,

,

respectively. Further, let the
time

of the stationary system be determined for all points thereof
at which there are clocks by means of light signals in the manner
indicated in § 1; similarly let the time

of the moving system be
determined for all points of the moving system at which there are
clocks at rest relatively to that system by applying the method, given
in § 1, of light signals between the points at which the latter clocks
are located.
To any system of values

,

,

,

, which completely defines the place
and time of an event in the stationary system, there belongs a system
of values

,

,

,
determining that event relatively to the system

,
and our task is now to find the system of equations connecting these
quantities.
In the first place it is clear that the equations must be
linear on
account of the properties of homogeneity which we attribute to space
and time.
If we place

, it is clear that a point at rest in the
system

must have a system of values

,

,

, independent of time.
We first define

as a function of

,

,

, and

. To do this we
have to express in equations that

is nothing else than the summary
of the data of clocks at rest in system

, which have been
synchronized according to the rule given in § 1.
From the origin of
system

let a ray be emitted at the time

along the X-axis to

,
and at the time

be reflected thence to the origin of the
co-ordinates, arriving there at the time

; we then must have

, or,
by inserting the arguments of the function

and
applying the principle of the constancy of the velocity of light in
the stationary system:--
Hence, if

be chosen infinitesimally small,
or
It is to be noted that instead of the origin of the co-ordinates we
might have chosen any other point for the point of origin of the ray,
and the equation just obtained is therefore valid for all values of

,

,

.
An analogous consideration--applied to the axes of Y and Z--it being
borne in mind that light is always propagated along these axes, when
viewed from the stationary system, with the velocity

gives us
Since

is a
linear function, it follows from these equations that
where

is a function

at present unknown, and where for brevity
it is assumed that at the origin of

,

, when

.
With the help of this result we easily determine the quantities

,

,

by expressing in equations that light (as required by the principle
of the constancy of the velocity of light, in combination with the
principle of relativity) is also propagated with velocity

when
measured in the moving system. For a ray of light emitted at the time

in the direction of the increasing
But the ray moves relatively to the initial point of

, when measured
in the stationary system, with the velocity

, so that
If we insert this value of

in the equation for

, we obtain
In an analogous manner we find, by considering rays moving along the
two other axes, that
when
Thus
Substituting for

its value, we obtain
where
and

is an as yet unknown function of

. If no assumption whatever
be made as to the initial position of the moving system and as to the
zero point of

, an additive constant is to be placed on the right
side of each of these equations.
We now have to prove that any ray of light, measured in the moving
system, is propagated with the velocity

, if, as we have assumed,
this is the case in the stationary system; for we have not as yet
furnished the proof that the principle of the constancy of the
velocity of light is compatible with the principle of relativity.
At the time

, when the origin of the co-ordinates is common
to the two systems, let a spherical wave be emitted therefrom, and be
propagated with the velocity

in system K. If

be a point
just attained by this wave, then
Transforming this equation with the aid of our equations of
transformation we obtain after a simple calculation
The wave under consideration is therefore no less a spherical wave
with velocity of propagation

when viewed in the moving system. This
shows that our two fundamental principles are
compatible.
In the equations of transformation which have been developed there
enters an unknown function

of

, which we will now determine.
For this purpose we introduce a third system of co-ordinates

, which relatively to the system

is in a state of parallel
translatory motion parallel to the axis of X, such that the origin of
co-ordinates of system

moves with velocity

on the axis of X. At
the time

let all three origins coincide, and when

let the time

of the system

be zero. We call the
co-ordinates, measured in the system

,

,

,

, and by a twofold
application of our equations of transformation we obtain
Since the relations between

,

,

and

,

,

do not contain the time

, the systems K and

are at rest
with respect to one another, and it is clear that the
transformation from K to

must be the identical
transformation. Thus
We now inquire into the signification of

. We give our attention
to that part of the axis of Y of system

which lies between

and

.
This part of the axis of Y is a
rod moving perpendicularly to its axis with velocity

relatively to
system K. Its ends possess in K the co-ordinates
and
The length of the rod measured in K is therefore

; and this
gives us the meaning of the function

. From reasons of symmetry
it is now evident that the length of a given rod moving
perpendicularly to its axis, measured in the stationary system, must
depend only on the velocity and not on the direction and the sense of
the motion. The length of the moving rod measured in the stationary
system does not change, therefore, if

and

are interchanged.
Hence follows that

, or
It follows from this relation and the one previously found that

,
so that the transformation equations which have been found become
where
We envisage a rigid sphere

of radius R, at rest
relatively to the moving system

, and with its centre at the
origin of co-ordinates of

. The equation of the surface of
this sphere moving relatively to the system K with velocity

is
The equation of this surface expressed in

,

,

at the time

is
A rigid body which, measured in a state of rest, has the form of a
sphere, therefore has in a state of motion--viewed from the stationary
system--the form of an ellipsoid of revolution with the axes
Thus, whereas the Y and Z dimensions of the sphere (and therefore of
every rigid body of no matter what form) do not appear modified by the
motion, the X dimension appears shortened in the ratio

,
i.e.
the greater the value of

, the greater the shortening. For

all
moving objects--viewed from the "stationary" system--shrivel up into
plane figures.
For velocities greater than that of light our
deliberations become meaningless; we shall, however, find in what
follows, that the velocity of light in our theory plays the part,
physically, of an infinitely great velocity.
It is clear that the same results hold good of bodies at rest in
the "stationary" system, viewed from a system in uniform motion.
Further, we imagine one of the clocks which are qualified to
mark the time

when at rest relatively to the stationary
system, and the time

when at rest relatively to the
moving system, to be located at the origin of the co-ordinates
of

, and so adjusted that it marks the time

. What is
the rate of this clock, when viewed from the stationary system?
Between the quantities x, t, and

, which refer to the position of the
clock, we have, evidently,

and
Therefore,
whence it follows that the time marked by the clock (viewed in the
stationary system) is slow by

seconds per second,
or--neglecting magnitudes of fourth and higher order--by

.
From this there ensues the following peculiar consequence. If at the
points A and B of K there are stationary clocks which, viewed in the
stationary system, are synchronous; and if the clock at A is moved
with the velocity

along the line AB to B, then on its arrival at B
the two clocks no longer synchronize, but the clock moved from A to B
lags behind the other which has remained at B by

(up to
magnitudes of fourth and higher order),

being the time occupied in
the journey from A to B.
It is at once apparent that this result still holds good if the clock
moves from A to B in any polygonal line, and also when the points A
and B coincide.
If we assume that the result proved for a polygonal line is also
valid for a continuously curved line, we arrive at this result:
If one of two synchronous clocks at A is moved in a closed curve
with constant velocity until it returns to A, the journey
lasting

seconds, then by the clock which has remained at
rest the travelled clock on its arrival at A will be

second slow. Thence we conclude that a
balance-clock
7 at the equator must go more slowly, by a very small
amount, than a precisely similar clock situated at one of the
poles under otherwise identical conditions.
In the system

moving along the axis of X of the system K with
velocity

, let a point move in accordance with the equations
where

and

denote constants.
Required: the motion of the point relatively to the system K. If with
the help of the equations of transformation developed in § 3 we
introduce the quantities

,

,

,

into the equations of motion of
the point, we obtain
Thus the law of the parallelogram of velocities is valid according to
our theory only to a first approximation. We set

is then to be looked upon as the angle between the velocities

and

. After a simple calculation we obtain
It is worthy of remark that

and

enter into the expression for the
resultant velocity in a symmetrical manner. If

also has the
direction of the axis of X, we get
It follows from this equation that from a composition of two
velocities which are less than

, there always results a velocity less
than

. For if we set

,

and

being positive
and less than

, then
It follows, further, that the velocity of light

cannot be altered by
composition with a velocity less than that of light. For this case we
obtain
We might also have obtained the formula for V, for the case when

and

have the same direction, by compounding two transformations in
accordance with § 3. If in addition to the systems K and

figuring
in § 3 we introduce still another system of co-ordinates

moving
parallel to

, its initial point moving on the axis of X with the
velocity

, we obtain equations between the quantities

,

,

,

and the corresponding quantities of

, which differ from
the equations found in § 3 only in that the place of "

" is taken by
the quantity
from which we see that such parallel transformations--necessarily--form
a group.
We have now deduced the requisite laws of the theory of kinematics
corresponding to our two principles, and we proceed to show their
application to electrodynamics.
Let the Maxwell-Hertz equations for empty space hold good for the
stationary system K, so that we have
where (X, Y, Z) denotes the vector of the electric force, and (L, M,
N) that of the magnetic force.
If we apply to these equations the transformation developed in § 3, by
referring the electromagnetic processes to the system of co-ordinates
there introduced, moving with the velocity

, we obtain the equations
where
Now the principle of relativity requires that if the
Maxwell-Hertz equations for empty space hold good in system K,
they also hold good in system

; that is to say that the
vectors of the electric and the magnetic force--(

,

,

) and (

,

,

)--of the moving
system

, which are defined by their ponderomotive effects on
electric or magnetic masses respectively, satisfy the following
equations:--
Evidently the two systems of equations found for system

must express
exactly the same thing, since both systems of equations are equivalent
to the Maxwell-Hertz equations for system K. Since, further, the
equations of the two systems agree, with the exception of the symbols
for the vectors, it follows that the functions occurring in the
systems of equations at corresponding places must agree, with the
exception of a factor

, which is common for all functions of the
one system of equations, and is independent of

and

but depends
upon

. Thus we have the relations
If we now form the reciprocal of this system of equations,
firstly by solving the equations just obtained, and secondly by
applying the equations to the inverse transformation (from

to
K), which is characterized by the velocity

, it follows, when
we consider that the two systems of equations thus obtained must
be identical, that

. Further, from reasons of
symmetry
8and therefore
and our equations assume the form
As to the interpretation of these equations we make the following
remarks: Let a point charge of electricity have the magnitude "one''
when measured in the stationary system K, i.e. let it when at rest
in the stationary system exert a force of one dyne upon an equal
quantity of electricity at a distance of one cm. By the principle of
relativity this electric charge is also of the magnitude "one" when
measured in the moving system. If this quantity of electricity is at
rest relatively to the stationary system, then by definition the
vector (X, Y, Z) is equal to the force acting upon it. If the
quantity of electricity is at rest relatively to the moving system (at
least at the relevant instant), then the force acting upon it,
measured in the moving system, is equal to the vector (

,

,

).
Consequently the first three equations above allow themselves to be
clothed in words in the two following ways:--
1. If a unit electric point charge is in motion in an electromagnetic
field, there acts upon it, in addition to the electric force, an
"electromotive force" which, if we neglect the terms multiplied by the
second and higher powers of

, is equal to the vector-product of the
velocity of the charge and the magnetic force, divided by the velocity
of light. (Old manner of expression.)
2. If a unit electric point charge is in motion in an electromagnetic
field, the force acting upon it is equal to the electric force which
is present at the locality of the charge, and which we ascertain by
transformation of the field to a system of co-ordinates at rest
relatively to the electrical charge. (New manner of expression.)
The analogy holds with "magnetomotive forces." We see that
electromotive force plays in the developed theory merely the part of
an auxiliary concept, which owes its introduction to the circumstance
that electric and magnetic forces do not exist independently of the
state of motion of the system of co-ordinates.
Furthermore it is clear that the asymmetry mentioned in the
introduction as arising when we consider the currents produced by the
relative motion of a magnet and a conductor, now disappears.
Moreover, questions as to the "seat" of electrodynamic electromotive
forces (unipolar machines) now have no point.
In the system K, very far from the origin of co-ordinates, let there
be a source of electrodynamic waves, which in a part of space
containing the origin of co-ordinates may be represented to a
sufficient degree of approximation by the equations
where
Here (

,

,

)
and (

,

,

) are the vectors defining the
amplitude of the wave-train, and

the direction-cosines of the
wave-normals. We wish to know the constitution of these waves, when
they are examined by an observer at rest in the moving system

.
Applying the equations of transformation found in § 6 for electric and
magnetic forces, and those found in § 3 for the co-ordinates and the
time, we obtain directly
where
From the equation for

it follows that if an observer is moving with
velocity

relatively to an infinitely distant source of light of
frequency

, in such a way that the connecting line "source-observer''
makes the angle

with the velocity of the observer referred to a
system of co-ordinates which is at rest relatively to the source of
light, the frequency

of the light perceived by the observer is
given by the equation
This is Doppler's principle for any velocities whatever. When

the equation assumes the perspicuous form
We see that, in contrast with the customary view, when

.
If we call the angle between the wave-normal (direction of the ray) in
the moving system and the connecting line "source-observer"

, the
equation for

assumes the form
This equation expresses the law of aberration in its most general
form. If

, the equation becomes simply
We still have to find the amplitude of the waves, as it appears in the
moving system. If we call the amplitude of the electric or magnetic
force A or

respectively, accordingly as it is measured in the
stationary system or in the moving system, we obtain
which equation, if

, simplifies into
It follows from these results that to an observer approaching a source
of light with the velocity

, this source of light must appear of
infinite intensity.
Since

equals the energy of light per unit of
volume, we have to regard

, by the principle of
relativity, as the energy of light in the moving system. Thus

would be the ratio of the "measured in
motion" to the "measured at rest" energy of a given light
complex, if the volume of a light complex were the same, whether
measured in K or in

. But this is not the case. If

are the direction-cosines of the wave-normals of the light in
the stationary system, no energy passes through the surface
elements of a spherical surface moving with the velocity of
light:--
We may therefore say that this surface permanently encloses the same
light complex. We inquire as to the quantity of energy enclosed by
this surface, viewed in system

, that is, as to the energy of the
light complex relatively to the system

.
The spherical surface--viewed in the moving system--is an ellipsoidal
surface, the equation for which, at the time

, is
If S is the volume of the sphere, and

that of this ellipsoid, then
by a simple calculation
Thus, if we call the light energy enclosed by this surface E when it
is measured in the stationary system, and

when measured in the
moving system, we obtain
and this formula, when

, simplifies into
It is remarkable that the energy and the frequency of a light complex
vary with the state of motion of the observer in accordance with the
same law.
Now let the co-ordinate plane

be a perfectly reflecting
surface, at which the plane waves considered in § 7 are reflected. We
seek for the pressure of light exerted on the reflecting surface, and
for the direction, frequency, and intensity of the light after
reflexion.
Let the incidental light be defined by the quantities A,

,

(referred to system K). Viewed from

the corresponding quantities
are
For the reflected light, referring the process to system

, we obtain
Finally, by transforming back to the stationary system K, we obtain for
the reflected light
The energy (measured in the stationary system) which is incident upon
unit area of the mirror in unit time is evidently

.
The energy leaving the unit of surface of the mirror in the unit of
time is

.
The difference of these two
expressions is, by the principle of energy, the work done by the
pressure of light in the unit of time. If we set down this work as
equal to the product P

, where P is the pressure of light, we obtain
In agreement with experiment and with other theories, we obtain to a
first approximation
All problems in the optics of moving bodies can be solved by the
method here employed. What is essential is, that the electric and
magnetic force of the light which is influenced by a moving body, be
transformed into a system of co-ordinates at rest relatively to the
body. By this means all problems in the optics of moving bodies will
be reduced to a series of problems in the optics of stationary bodies.
We start from the equations
where
denotes

times the density of electricity, and

the
velocity-vector of the charge. If we imagine the electric charges to
be invariably coupled to small rigid bodies (ions, electrons), these
equations are the electromagnetic basis of the Lorentzian
electrodynamics and optics of moving bodies.
Let these equations be valid in the system K, and transform them, with
the assistance of the equations of transformation given in §§ 3 and 6,
to the system

. We then obtain the equations
where
and
Since--as follows from the theorem of addition of velocities (§ 5)--the
vector

is nothing else than the velocity of the electric
charge, measured in the system

, we have the proof that, on the basis
of our kinematical principles, the electrodynamic foundation of
Lorentz's theory of the electrodynamics of moving bodies is in
agreement with the principle of relativity.
In addition I may briefly remark that the following important law may
easily be deduced from the developed equations: If an electrically
charged body is in motion anywhere in space without altering its
charge when regarded from a system of co-ordinates moving with the
body, its charge also remains--when regarded from the "stationary''
system K--constant.
Let there be in motion in an electromagnetic field an electrically
charged particle (in the sequel called an "electron''), for the law of
motion of which we assume as follows:--
If the electron is at rest at a given epoch, the motion of the
electron ensues in the next instant of time according to the equations
where

denote the co-ordinates of the electron, and

the mass
of the electron, as long as its motion is slow.
Now, secondly, let the velocity of the electron at a given epoch be

.
We seek the law of motion of the electron in the immediately ensuing
instants of time.
Without affecting the general character of our considerations, we may
and will assume that the electron, at the moment when we give it our
attention, is at the origin of the co-ordinates, and moves with the
velocity

along the axis of X of the system K. It is then clear that
at the given moment

the electron is at rest relatively to a
system of co-ordinates which is in parallel motion with velocity

along the axis of X.
From the above assumption, in combination with the principle of
relativity, it is clear that in the immediately ensuing time (for
small values of

) the electron, viewed from the system

, moves in
accordance with the equations
in which the symbols

,

,

,

,

,

refer to the system

. If, further, we decide that
when

then

, the
transformation equations of §§ 3 and 6 hold good, so that we
have
With the help of these equations we transform the above equations of
motion from system

to system K, and obtain
Taking the ordinary point of view we now inquire as to the
"longitudinal" and the "transverse" mass of the moving electron. We
write the equations (A) in the form
and remark firstly that

,

,

are the components of the ponderomotive force acting upon the
electron, and are so indeed as viewed in a system moving at the
moment with the electron, with the same velocity as the
electron. (This force might be measured, for example, by a
spring balance at rest in the last-mentioned system.) Now if we
call this force simply "the force acting upon the
electron,''
9 and maintain the
equation--mass

acceleration

force--and if we also
decide that the accelerations are to be measured in the
stationary system K, we derive from the above equations
With a different definition of force and acceleration we should
naturally obtain other values for the masses. This shows us that in
comparing different theories of the motion of the electron we must
proceed very cautiously.
We remark that these results as to the mass are also valid for
ponderable material points, because a ponderable material point can be
made into an electron (in our sense of the word) by the addition of an
electric charge,
no matter how small.
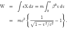
We will now determine the kinetic energy of the electron. If an
electron moves from rest at the origin of co-ordinates of the system
K along the axis of X under the action of an electrostatic force X,
it is clear that the energy withdrawn from the electrostatic field has
the value

.
As the electron is to be slowly accelerated, and
consequently may not give off any energy in the form of radiation, the
energy withdrawn from the electrostatic field must be put down as
equal to the energy of motion W of the electron. Bearing in mind that
during the whole process of motion which we are considering, the first
of the equations (A) applies, we therefore obtain
Thus, when

, W becomes infinite. Velocities
greater than that of light have--as in our previous results--no
possibility of existence.
This expression for the kinetic energy must also, by virtue of the
argument stated above, apply to ponderable masses as well.
We will now enumerate the properties of the motion of the electron
which result from the system of equations (A), and are accessible to
experiment.
1. From the second equation of the system (A) it follows that an
electric force Y and a magnetic force N have an equally strong
deflective action on an electron moving with the velocity

, when

.
Thus we see that it is possible by our theory to determine the
velocity of the electron from the ratio of the magnetic power of
deflexion

to the electric power of deflexion

, for any velocity,
by applying the law
This relationship may be tested experimentally, since the velocity of
the electron can be directly measured, e.g. by means of rapidly
oscillating electric and magnetic fields.
2. From the deduction for the kinetic energy of the electron it
follows that between the potential difference, P, traversed and the
acquired velocity

of the electron there must be the relationship
3. We calculate the radius of curvature of the path of the electron
when a magnetic force N is present (as the only deflective force),
acting perpendicularly to the velocity of the electron. From the
second of the equations (A) we obtain
or
These three relationships are a complete expression for the laws
according to which, by the theory here advanced, the electron must
move.
In conclusion I wish to say that in working at the problem here dealt
with I have had the loyal assistance of my friend and colleague M.
Besso, and that I am indebted to him for several valuable suggestions.
This edition of Einstein's On the Electrodynamics of Moving
Bodies is based on the English translation of his original
1905 German-language paper (published as
Zur Elektrodynamik bewegter Körper,
in Annalen der Physik. 17:891, 1905) which appeared in
the book The Principle of Relativity, published in 1923 by
Methuen and Company, Ltd. of London. Most of the papers in that
collection are English translations from the German
Das Relativatsprinzip, 4th ed., published by in 1922
by Tuebner. All of these sources are now in the public
domain; this document, derived from them, remains in
the public domain and may be reproduced in any manner
or medium without permission, restriction, attribution, or
compensation.
Numbered footnotes are as they appeared in the 1923 edition; editor's notes are marked by a dagger (
) and appear in
sans serif type. The 1923 English translation modified
the notation used in Einstein's 1905 paper to conform to that
in use by the 1920's; for example,
denotes the speed of
light, as opposed the
used by Einstein in 1905.
This edition was prepared by John Walker. The current
version of this document is available in a variety of
formats from the editor's Web site:
DoArriba(); ?>
Footnotes
- ...
good.



- The preceding memoir by Lorentz was not at this time known
to the author.
- ... good.

- i.e. to the first approximation.
- ... events.''

- We shall
not here discuss the inexactitude which lurks in the concept of
simultaneity of two events at approximately the same place,
which can only be removed by an abstraction.
- ...
time

- "Time" here denotes "time of the stationary
system" and also "position of hands of the moving clock situated
at the place under discussion.''
- ...
compatible.

- The equations of the Lorentz transformation may be more simply
deduced directly from the condition that in virtue of those equations
the relation
shall have as its consequence the
second relation
.
- ... sphere

- That is, a body possessing
spherical form when examined at rest.
- ... figures.
- Editor's note: In the original 1923
English edition, this phrase was erroneously translated as
"plain figures''. I have used the correct
"plane figures" in this edition.
- ...
balance-clock7
- Not a pendulum-clock, which is physically
a system to which the Earth belongs. This case had to be
excluded.
- ...
symmetry8
- If, for example, X=Y=Z=L=M=0, and N
0, then from reasons of symmetry it is clear that when
changes sign without changing its numerical value,
must also
change sign without changing its numerical value.
- ...
electron,''9
- The definition of force here given is not
advantageous, as was first shown by M. Planck. It is more to
the point to define force in such a way that the laws of
momentum and energy assume the simplest form.