Bájatelo (formato ps) post-script

Física estadística

pod


Date: Febrero-Mayo de 2002


Introducción

Los apuntes recogidos en el presente documento corresponden al temario de la asignatura de tercer curso Física Estadística de la Facultad de Física de la Universidad de Barcelona. Se tratan los temas clásicos de la física estadística, en el marco de la teoría de las colectividades de Gibbs, así como una pequeña introducción a la estadística cuántica.

El enfoque elegido para el presente curso de física estadística, al contrario que otros textos más tradicionales, es el de fundamentar toda la teoría a partir de la colectividad microcanónica, deduciendo el resto de colectividades a partir de ésta. Además, se da por separado toda la teoría, dejando para un documento posterior su aplicación a sistemas físicos concretos.

1. Fundamentos de la física estadística

La física estadística se encarga de unir las teorías microscópicas (física clásica, cuántica, relatividad, electromagnetismo,...) con las teorías macroscópicas (termodinámica, medios continuos,...).

La física estadística se divide en:

  • física estadística de equilibrio bien fundamentada y comúnmente aceptada y
  • física estadística de no equilibrio diferentes fundamentaciones según los problemas a tratar.

Otra clasificación se refiere a si la formulación tiene en cuenta la coherencia cuántica (física estadística cuántica) o no (física estadística clásica).

Existen dos formulaciones diferentes de la física estadística:

  • la teoría argódica (iniciada por Einstein) según la cual el sistema físico explora todos sus estados microscópicos posibles, mientras que el estado macroscópico viene descrito mediante promedios temporales, si bien esta teoría es de poco interés práctico para la comprensión de los sistemas físicos.
  • la teoría de colectividades de Gibbs en la que se tienen una colección infinita de copias del sistema, cada una en un estado microscópico diferente.

2. La colectividad microcanónica

2.1 La teoría de colectividades

Llamaremos macroestado a cada estado posible del conjunto de variables macroscópicas (termodinámicas) con las cuales describimos el sistema. Igualmente, llamaremos microestado a todos los valores posibles de las variables microscópicas con las que describimos completamente el estado a nivel microscópico del sistema. Llamaremos $ \Omega $ al número de microestados compatibles con un determinado macroestado.

En la teoría de colectividades tenemos muchas copias del sistema, cada una en un microestado diferente, todos compatibles con el mismo macroestado del sistema. La media entre todos los sistemas nos da el estado termodinámico.

Cada tipo de sistema se adapta a un tipo de colectividad, según las restricciones que le imponemos. En este capítulo, comenzaremos por estudiar la colectividad microcanónica, adecuada para los sistemas aislados completamente del resto del universo.

2.2 Postulados de la física estadística

Presentamos a continuación los tres principales postulados de la física estadística y sus principales consecuencias.

Postulado 1 (de equiprobabilidad a priori)   Todos los microestados compatibles con un estado macroscópico de equilibrio de un sistema aislado son igualmente probables.

Como consecuencia de éste postulado solamente puedo aspirar a conocer el número de microestados $ \Omega $ , pero ninguna información adicional. Por la condición de normalización, la probabilidad de un microestado en concreto será $ p=1/\Omega$ .

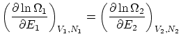
Postulado 2 (sobre $ \Omega $ en equilibrio)   Si dos sistemas están en equilibrio termodinámico entre si pero aislados del resto del universo, el número de microestados $ \Omega(N_1, V_1, E_1; N_2, V_2, E_2)$ es máximo respecto de todas sus variables.

Postulado 3 (de compatibilidad con la termodinámica)   Todas las conclusiones y predicciones de la física estadística han de ser compatibles con la termodinámica.

2.3 Equilibrio termodinámico en la colectividad microcanónica

Para empezar, supondremos dos sistemas en equilibrio termodinámico entre si pero aislados del resto del universo. Fijamos la energía total a un valor $ E=E_1+E_2$ .

Si la los sistemas no interaccionan entre si, o lo hacen tan débilmente que podemos despreciar la contribución de la interacción, el número de microestados factoriza $ \Omega_{1+2} = \Omega_1 \Omega_2 $ .

Si la pared que une los dos sistemas es diaterma, rígida e impermeable (tan sólo deja pasar la energía, $ V=V_1+V_2$ y $ N=N_1+N_2$ fijos ), la termodinámica nos dice que las temperaturas de los dos subsistemas serán iguales. Esta igualdad se puede escribir, en función de la entropía, como

$\displaystyle \left( \frac{\partial S_1}{\partial U_1} \right)_{N_1, V_1} = \left( \frac{\partial S_2}{\partial U_2} \right)_{N_2, V_2}$ (2.1)

Por otra parte, del postulado dos $ \Omega(E_1, N_1, V_1, E-E_1, V-V_1,N-N_1) = \Omega_1(E_1) \Omega_2(E-E_2)$ ha de ser máximo respecto la energía. La condición de máximo para $ E_1$ nos da

$\displaystyle \left( \frac{\partial \Omega}{\partial E_1} \right)_{\textrm{eq.}...
...Omega_1}{E_1} \Omega_2 + \Omega_1 \frac{\partial }{\partial \Omega_2}{E_1} = 0 $

si aplicamos la regla de la derivación en cadena a la segunda derivada, y tenemos en cuenta que $ E_2=E-E_1$ llegamos a la condición

$\displaystyle \frac{1}{\Omega_1} \left( \frac{\partial \Omega_1}{\partial E_1} ...
...{1}{\Omega_2} \left( \frac{\partial \Omega_2}{\partial E_2} \right)_{V_2, N_2} $

o bien

$\displaystyle \left( \frac{\partial \ln \Omega_1}{\partial E_1} \right)_{V_1, N_1} = \left( \frac{\partial \ln \Omega_2}{\partial E_2} \right)_{V_2, N_2}$ (2.2)

Si relajamos la condición de rigidez, la termo nos dice que, además, ha de ser $ p_1=p_2$ . Esta igualdad se puede reescribir como

$\displaystyle \left( \frac{\partial S_1}{\partial V_1} \right)_{E_1, N_1} = \left( \frac{\partial S_2}{\partial V_2} \right)_{E_2, N_2}$ (2.3)

Siguiendo el mismo procedimiento que en el caso anterior, imponiendo la condición de máximo respecto $ V_1$ , llegamos a la condición

$\displaystyle \left( \frac{\partial \ln \Omega_1}{\partial V_1} \right)_{E_1, N_1} = \left( \frac{\partial \ln \Omega_2}{\partial V_2} \right)_{E_2, N_2}$ (2.4)

Por último, si además permitimos el paso de partículas, la termodinámica nos impone la igualdad de potenciales químicos $ \mu_1 =
\mu_2$ . De nuevo, esta condición se puede escribir como una igualdad entre derivadas

$\displaystyle \left( \frac{\partial S_1}{\partial N_1} \right)_{E_1, V_1} = \left( \frac{\partial S_2}{\partial V_2} \right)_{N_2, E_2}$ (2.5)

Además, obtenemos la condición de máximo respecto $ N_1$ , que resulta ser

$\displaystyle \left( \frac{\partial \ln \Omega_1}{\partial N_1} \right)_{E_1, V_1} = \left( \frac{\partial \ln \Omega_2}{\partial N_2} \right)_{E_2, V_2}$ (2.6)

2.4 Entropía de Boltzman

Del tercer postulado, las condición 2.1 debe ser equivalente a la 2.2, la 2.3 a la 2.4 y la 2.5 debe ser equivalente a la 2.6. En todas estas condiciones, la entropía juega el mismo papel que el logaritmo de $ \Omega $ . Además, mientras que en termodinámica el estado de equilibrio es el de máxima entropía, en estadística maximizamos $ \Omega $ (o $ \ln\Omega$ ). Todo esto nos propone identificar que la entropía debe ser proporcional a el logaritmo de $ \Omega $ . La constante de proporcionalidad, que debe llevar las unidades de entropía, es la constante de Boltzman. Por tanto,

$\displaystyle S = k_B \ln\Omega $

A partir de esta relación, podemos obtener la ecuación de estado y otros parámetros termodinámicos utilizando las igualdades que se demuestran en termodinámica. Las más útiles son

$\displaystyle \frac{1}{T} = \left( \frac{\partial S}{\partial E} \right)_{V,N} ...
...)_{E,N}  , \quad \mu = - T \left( \frac{\partial S}{\partial N} \right)_{E,V} $

Eliminando $ E$ de las dos primeras ecuaciones, obtenemos directamente la ecuación de estado.

El hecho que la entropía ha de ser extensiva (su única dependencia con el tamaño del sistema ha de ser proporcional), nos impone la siguiente funcionalidad para el número de microestados

$\displaystyle \Omega = \exp\left\{ N \phi\left(\frac{E}{N}, \frac{V}{N}\right)
\right\} $

2.5 Cálculo de $ \Omega $

En muy pocos ejemplos prácticos podemos calcular $ \Omega $ directamente. En el resto de casos, hemos de aplicar estimaciones adecuadas.

En el caso de microestados discretos, se recontarán los estados en una banda de energía $ \Delta E$ en rededor del valor deseado. En el limite termodinámico $ \Delta E / E \ll 1$ y esta aproximación no afectará a nuestro resultado.

En el caso de microestados continuos, consideramos que el volumen de un microestado en el espacio fásico de $ 6N$ dimensiones es $ h^{3N}$ (hipercubo de arista h). Dado que la fijación de la energía $ E = H( {\vec q} , {\vec p} )$ nos rebaja una dimensión el espacio, debemos calcular el área de la hipersuperficie de energía $ E$ . Esto es equivalente a calcular el volumen entre las superficies de energías $ E$ y $ \delta E$ . Por tanto ,

$\displaystyle \Omega = \frac{1}{h^{3N}} \mathop{ \int \cdots \int}_{E < H < E+\delta E} \ensuremath{\mathrm{d}}^{3N}q \ensuremath{\mathrm{d}}^{3N}p $

Para realizar los cálculos anteriores, puede resultar útil conocer el volumen y el área de una hiperesfera de radio $ r$ :

$\displaystyle V_n =
C_n r^n  , \quad A_n = n C_n r^{n-1}  , \qquad \textrm{con }  C_n = \frac{2}{n} \frac{\pi^{n/2}}{\Gamma(n/2)} $

2.6 Gas ideal en la colectividad microcanónica

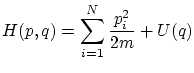
Supongamos un conjunto de $ N$ partículas puntuales (sin volumen excluido) de masa $ m$ y sin interacción (sin potencial). El hamiltoniano del sistema será

$\displaystyle H = \sum^{3N}_{i=1} \frac{1}{2m} p_i^2 $

De lo dicho en el apartado anterior, debemos integrar a la superficie $ E=H$ , que resulta ser una hiperesfera en el espacio de los momentos (dimensión $ 3N$ ) y de radio $ \sqrt{2mE}$ . El volumen de la cáscara comprendido entre las energías $ E$ y $ E+\delta E$ será $ A_{3N}(r) \delta r$ . El área se puede calcular a partir de la fórmula dada anteriormente, mientras que podemos obtener $ \delta r$ diferenciando la expresión del radio. El resultado final es

$\displaystyle \Omega = \frac{1}{h^{3N}} \int \ensuremath{\mathrm{d}}^{3N}q \cdo...
...hrm{d}}^{3N}p = \frac{1}{h^{3N}}
V^N \cdot \frac{(2m\pi E)^{3N/2}}{(3N/2-1)!} $

La entropía se puede calcular mediante la fórmula de Boltzman

$\displaystyle S = k_B \ln \Omega \approx k_B N \left[ \ln V + \frac{3}{2} \ln \frac{4m \pi
E}{3h^2N}+\frac{3}{2} \right] $

donde hemos despreciado términos $ 1/N$ en el límite termodinámico. Esta expresión de la entropía no es aceptable ya que no es aceptable, ya que no ex extensiva (el volumen debería aparecer dividido entre $ N$ ). Gibbs se dio cuenta de que esto se debía a un mal recuento de los micro estados, ya que las partículas son indistinguibles y debemos dividir $ \Omega $ por $ N!$ (las permutaciones de todas las partículas). Hecho este cambio, y utilizando la aproximación de Stirling para el factorial, llegamos a

$\displaystyle S \approx k_B N \left( \ln \frac{V}{N} + \frac{3}{2} \ln \frac{4m \pi E}{3h^2N}+\frac{3}{2} \right) $

Usando las relaciones termodinámicas habituales, podemos llegar a

$\displaystyle E = \frac{3}{2}N k_B T  , \quad p V = N k_B T  , \quad \mu
= k_B T \ln \frac{N \lambda^3}{V}$

donde

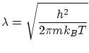
$\displaystyle \lambda = \sqrt{\frac{h^2}{2\pi m k_B T}}$

es la longitud de onda térmica de De Broglie, que se identifica con el tamaño efectivo de la partícula, es decir, la distancia a la cual dos partículas interaccionarán.

La expresión obtenida para la entropía resulta incorrecta para temperaturas muy bajas ya que $ S(T\to0) = -\infty$ , cosa prohibida por el tercer principio de la termodinámica. La razón de este mal comportamiento reside en que para temperaturas bajas $ lambda$ se hace muy grande y, por lo tanto, no podemos suponer que no existe interacción entre las partículas.

2.7 Gas ideal en mecánica cuántica para T altas

Vamos a considerar el mismo caso que en el apartado anterior pero introduciendo la cuantización de la energía. Veremos que llegamos al mismo valor de $ \Omega $ que en el caso clásico, ya que hacemos el cálculo explícitamente para temperaturas altas, donde los efectos cuánticos no tiene mucho peso.

En mecánica cuántica se demuestra que las energías permitidas para una partícula en una caja cúbica de arista $ L$ depende de tres números cuánticos es

$\displaystyle E = \frac{\hbar^2 \pi^2}{2m L^2} ( n_x^2 + n_y^2 + n_z^2 )  , \quad n_i = 1,2,\ldots $

El hecho que la energía total de las $ N$ partículas nos da la condición

$\displaystyle \sum^{3N}_j n^2_j = \frac{2mL^2E}{\hbar^2\pi} $

que es la ecuación de una hiperesfera en un espacio discreto de dimensión $ 3N$ y de radio $ \sqrt{2mLE / \hbar^2\pi^2}$ .

Podemos suponer que, en este caso, el volumen de un microestado será $ (\Delta n_j)^{3N} = 1$ ya que para los números cuánticos (que son naturales) $ \Delta n_j = 1$ . Por lo tanto, $ \Omega $ será el volumen comprendido entre dos hiperesferas de energías $ E$ y $ E+\delta E$ . Dicho volumen será igual al área de una de las hiperesferas multiplicada por $ \delta r = \frac{\ensuremath{\mathrm{d}}}{\ensuremath{\mathrm{d}}r}{E} \delta E$ . Debemos tener en cuenta también que cada número cuántico tan solo puede tomar valores positivos, por lo que debemos dividir por $ 2^{3N}$ . O sea

$\displaystyle \Omega = \frac{A_{3N}(r) \delta r}{1^{3N}}
\frac{1}{2^{3N}} $

substituyendo los valores dados, encontramos la misma expresión que en el cálculo clásico, por lo que todos los resultados del apartado precedente siguen siendo válidos para el caso cuántico en altas energías.

3. La colectividad canónica

3.1 Equilibrio con un baño térmico

Aunque la colectividad microcanónica resulta útil para la fundamentación de la teoría, tiene graves inconvenientes ya que en ella se fija la energía interna mientras que experimentalmente tenemos baños a temperatura fija. Por otra parte, resulta difícil calcular el número de microestados de un sistema con interacción o donde importe la coherencia cuántica.

Para solucionar algunos de estos problemas se introduce la colectividad canónica, donde se sitúa el sistema en un baño térmico. Por tanto, las variables a estudiar son $ T$ , $ N$ y $ V$ . El potencial termodinámico adecuado para estas variables es $ F$ .

Para deducir las ecuaciones de la colectividad canónica aplicaremos la microcanónica al sistema formado por el baño más el sistema. La probabilidad que la energía (del sistema) sea $ E_r$ será

$\displaystyle P(E_r) = C \Omega_1 (E_r) \Omega_2(E_2 - E_r) $

donde $ C$ constante de normalización. De la fórmula de Boltzmann

$\displaystyle \Omega_2 = \ensuremath{\mathrm{e}^{S_2 ( E_r - E_0 )/ k_b}} \appr...
...ath{\mathrm{e}^{\frac{S_2}{k_b}}} \ensuremath{\mathrm{e}^{\frac{E_r}{k_b T}}} $

Por tanto, nos queda

$\displaystyle P(E_r) = K \Omega_1 \ensuremath{\mathrm{e}^{- E_r \beta}} $

donde $ K$ es una nueva constante de normalización y $ \beta = 1/
k_B T$ es el factor de Boltzmann.

La función de partición canónica de esta distribución resulta ser

$\displaystyle Z = \sum_{E_t} \Omega_1(E_r) \ensuremath{\mathrm{e}^{-\beta E_r}} = \sum_r \ensuremath{\mathrm{e}^{-\beta E_r}} $

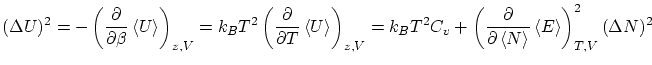
donde $ \Omega_1(E_r)$ representa la degeneración del estado r-ésimo. El valor esperado y su dispersión se pueden calcular de la forma habitual

$\displaystyle \left\langle E \right\rangle =\left. - \frac{\partial }{\partial ...
...left. \frac{\partial ^2}{\partial \beta^2} \ln Z \right)_{N,V} =
- k_B T^2 C_v $

De la última relación vemos que la dispersión relativa respecto la media es muy pequeña en el límite termodinámico, por lo que la distribución ha de ser muy picada en su máximo: el valor más probable ($ E^*$ ) es prácticamente igual al promedio. Podemos identificar, por tanto, estos valores a la variable termodinámica $ U$ (energía interna).

3.2 La colectividad canónica y la termodinámica

Como hemos visto, la función de partición, si9 tenemos en cuenta que la distribución de la energía es muy picada entorno su valor medio, se puede escribir

$\displaystyle Z = \sum_{E_t} \Omega_1(E_r) \approx \Omega(E^*) \ensuremath{\mathrm{e}^{-\beta E^*}} $

si aplicamos logaritmos obtenemos

$\displaystyle \ln Z = \ln(E^*) - \frac{E^*}{k_B T} \longrightarrow -k_B T \ln Z = U - T S $

donde hemos tenido en cuenta la fórmula de Boltzmann para la entropía y que $ E^* \approx \left\langle E \right\rangle \approx U $ por ser la distribución muy picada. De la termodinámica vemos que $ U-T S = F$ , lo que nos motiva a definir

$\displaystyle F(T,V,N) = - k_B T \ln Z $

Algunas relaciones de la termodinámica útiles en la colectividad canónica son

$\displaystyle p = - \left. \frac{\partial F}{\partial V} \right)_{T,N}  ,
\qqu...
...ight)_{V,N}  , \qquad \mu = \left. \frac{\partial F}{\partial N} \right)_{T,V}$

$\displaystyle C_v = \left.
\frac{\partial \left\langle E \right\rangle }{\parti...
... \right\rangle = \left. - \frac{\partial }{\partial \beta} \ln Z \right)_{V,N} $

3.3 Bajas y altas temperaturas

Diremos que un sistema esta en bajas temperaturas si, para cierta temperatura y energía de referencia $ T_0$ y $ E_0$ se cumple

$\displaystyle \frac{T}{T_0} \ll 1 \quad , \qquad \frac{k_B T}{E_0} \ll 1 $

En este caso, el sistema tiende a copar los estados de energía más bajos, y, por tanto

$\displaystyle \left\langle E \right\rangle = E_0 \quad , \qquad S = \ln \Omega(E_0) $

Por el contrario, diremos que el sistema está en condiciones de temperaturas altas si

$\displaystyle \frac{T}{T_0} \gg 1 \quad , \qquad
\frac{k_B T}{E_0} \gg 1 $

Si la energía no está acotada, pasamos al continuo (nube de probabilidad) y aplicamos el teorema de equipartición. Si la energía está acotada, tenemos $ \beta \to \infty$ y las exponenciales de Boltzmann tienden a la unidad: la probabilidad de cada microestado es la misma. Por tanto,

$\displaystyle \left\langle E \right\rangle = \frac{1}{\Omega_t} \sum_r E_r \Omega(E_r) \quad , \qquad
S = k_B \ln \Omega_t $

donde $ \Omega_t = \sum_r \Omega(E_r)$ es el número total de microestados. Nótese que $ \left\langle E \right\rangle <
E_\textrm{máx}$ .

3.4 Grados de libertad microscópicos

Cada variable microscópica que tenemos que especificar para describir completamente cada microestado se corresponde a un grado de libertad del sistema. Diremos que el Hamiltoniano es separable si se puede descomponer en sumandos que dependen tan sólo de las variables asociadas con un grado de libertad, i.e

$\displaystyle H = H_\textrm{rot}+H_\textrm{trans}+ H_\textrm{e-m}+
H_\textrm{atómicos}+\cdots $

En este caso, además, la función de partición factorizará y $ F$ será aditiva.

Cada grado de libertad podrá ser discreto si $ \frac{\Delta \epsilon}{k_B T} \ll 1 $ en cuyo caso la función de partición se calcula mediante el sumatorio

$\displaystyle Z = \sum_{E_t} \Omega_1(E_r)$

o bien continuo si $ \frac{\Delta \epsilon}{k_B T} \gg 1 $ , en cuyo caso la función de partición se puede calcular como

$\displaystyle Z(T,N,V) = \frac{1}{N! h^{3N}} \int \ensuremath{\mathrm{e}^{-\beta H(p,q)}} \ensuremath{\mathrm{d}}^{3N}q\
\ensuremath{\mathrm{d}}^{3N}p $

donde el factorial de $ N$ se ha de incluir tan solo si las partículas son indistinguibles (no localizadas). El factor $ h^{3N}$ equivale a dividir por el volumen de cada microestado.

En sistemas en interacción, el hamiltoniano se puede escribir

$\displaystyle H(p,q) = \sum^N_{i=1} \frac{p_i^2}{2m} + U(q)$

Las integrales gaussianas se pueden calcular fácilmente para llegar expresar la función de partición en términos de la integral de configuración

$\displaystyle Z(T,V,N) = \frac{1}{N! \lambda^{3N}} \int \ensuremath{\mathrm{e}^{-\beta U(q)}} \ensuremath{\mathrm{d}}^{3N}q $

Si el sistema no esta en interacción, la función de partición factoriza de la forma

$\displaystyle Z(T,V,N) = \frac{1}{N!} \big(Z_1(T,v)\big)^N  , \qquad Z_1(T,V) ...
...}^{-\beta H(p,q) }} \ensuremath{\mathrm{d}}^{3}q \ensuremath{\mathrm{d}}^{3}p $

donde debemos incluir el factorial tan solo si las partículas son indistinguibles.

3.5 Teorema de equipartición de la energía

La distribución de probabilidad de Boltzmann es

$\displaystyle P \ensuremath{\mathrm{d}}\Gamma = \frac{ \ensuremath{\mathrm{e}^{...
...m{d}}^{3N}q = A \ensuremath{\mathrm{d}}^{3N}p\
\ensuremath{\mathrm{d}}^{3N}q $

donde $ \ensuremath{\mathrm{d}}\Gamma$ es un diferencial de volumen en el espacio fásico. Renombraremos las variables canónicas como $ (p_i,q_i) \to (x_i)$ .

Calculemos el valor esperado

$\displaystyle \left\langle x_i \frac{\partial H}{\partial x_j} \right\rangle = ...
...\partial x_j} \ensuremath{\mathrm{e}^{-\beta H}}\ensuremath{\mathrm{d}}^{6N} x $

si tenemos en cuenta la igualdad

$\displaystyle \frac{\partial }{\partial x_j} x_i \ensuremath{\mathrm{e}^{-\beta...
... -x_i \beta \frac{\partial H}{\partial x_j} \ensuremath{\mathrm{e}^{-\beta H}} $

integrando por partes tenemos

$\displaystyle \left\langle x_i \frac{\partial H}{\partial x_j} \right\rangle = ...
...uremath{\mathrm{d}}^{6N-1} x
\right\vert^{x_\textrm{j máx}}_{x_\textrm{j mín}} $

la primera integral no es mas que la condición de normalización mientras que la segunda se anula en los límites de integración de $ x_j$ . Por tanto,

$\displaystyle \left\langle x_i \frac{\partial H}{\partial x_j} \right\rangle = k_B T \delta_{ij} $

esta es la expresión (abstracta) del principio de equipartición.

Por ejemplo, si tenemos un hamiltoniano del tipo

$\displaystyle H = \sum_{k=1}^{N'} \alpha_k x_k^\eta $

aplicando el resultado anterior para $ i=j$

$\displaystyle \left\langle x_i \frac{\partial H}{\partial x_i} \right\rangle = ...
...\rangle = \eta \alpha_i \left\langle x_i^\eta \right\rangle = k_B T \delta_{ij}$

por tanto

$\displaystyle \left\langle E \right\rangle = \left\langle H \right\rangle = \su...
...angle x^\eta \right\rangle = \sum_k \frac{k_B T}{\eta} = \frac{N' k_B T}{\eta} $

Los resultados del teorema de equipartición resultan ser completamente correctos para altas temperaturas. En capítulos posteriores re-interpretaremos este resultado a la luz de la física estadística cuántica.

4. La colectividad macrocanónica

4.1 Colectividad macrocanónica

La colectividad se introduce, principalmente, para solventar los siguientes problemas
  • El gran número de situaciones experimentales con interés con el número de partículas variable: reacciones químicas, equilibrio de fases, etc.
  • Sistemas con gran densidad, donde la coherencia cuántica se debe tener en cuenta, son más sencillos si se deja variar el número de partículas.

Dado que en esta colectividad dejaremos sin fijar tanto la energía $ E$ como el número de partículas $ N$ , deberemos fijar sus variables conjugadas: la temperatura $ T$ (conjugada a la energía) y el potencial químico $ \mu$ (conjugado a $ N$ ).

Por tal de situar nuestro sistema en la fundamentación de la física estadística, enmarcada en la microcanónica (sistemas aislados), debemos considerar el conjunto del baño térmico (que, a la vez, actuará como ``reservoir4.1'' de partículas) y el sistema que queremos estudiar. Consideraremos la energía del sistema total fijada al valor $ E_0$ , que el número total de partículas es $ N_0$ y que el volumen que comprende es $ V$ . Llamaremos $ E_r$ a la energía del subsistema objeto de estudio, $ N_s$ a su número de partículas y $ V_1$ es su volumen. Para referirnos al baño indicaremos un subíndice ``2''. Las propiedades del baño serán, pues

$\displaystyle E_2 = E_0 - E_r \quad , \quad N_2 = N_0 - N_s \quad , \quad V_2 = V - V_1 $

Excepto una constante de normalización $ C$ , la probabilidad de que el sistema estudiado tenga energía $ E_r$ y $ N_s$ partículas será

$\displaystyle P(E_r,N_s) = C \Omega_1(E_r, N_s)  \Omega_2(E_0-E_r,N_0-N_s) $

De la microcanónica sabemos que la entropía del baño será

$\displaystyle S_2(E_0-E_r,N_0-N_s) = k_B \ln \Omega_2(E_0-E_r,N_0-N_s) $

Si desarrollamos por Taylor tenemos

$\displaystyle S_2(E_0-E_r, N_0-N_s) =
S_2(E_0,N_0) - \left. \frac{\partial S_2...
...} E_r - \left. \frac{\partial S_2}{\partial N} \right\vert _{N_0} N_s + \cdots $

Por las relaciones termodinámicas conocidas en capítulos anteriores, podemos escribir las derivadas anteriores en función de variables termodinámicas conocidas, i.e

$\displaystyle \frac{\partial S_2}{\partial E}= \frac{1}{T} \quad , \quad\frac{\partial S_2}{\partial N} = -\frac{\mu}{T} $

es decir, recopilando todas las relaciones

$\displaystyle S_2 = S_2(E_0, N_0) - \frac{E_r}{T} + \frac{\mu N_s}{T} + \cdots = k_B \ln \Omega_2 $

por lo que podemos escribir

$\displaystyle \Omega_2 = \ensuremath{\mathrm{e}^{S_2(E_0,N_s)/k_B}} \ensuremath{\mathrm{e}^{-\beta ( E_r - \mu N_s)}} $

donde $ \beta = 1/
k_B T$ .

Podemos introducir el valor de $ \Omega_2$ en la expresión de la probabilidad. Como $ S_2(E_0,N_0)$ es un valor fijo, podemos absolverlo en la constante de normalización, por lo que nos queda

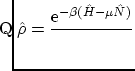
$\displaystyle P(E_r,N_s) = \frac{\Omega_1(E_r,N_s) \ensuremath{\mathrm{e}^{-\beta ( E_r - \mu N_s)}} }{\mathcal{Q}} $

Por la condición de normalización la suma de todas las probabilidades extendida a todos los valores de la energía y del número de partículas debe ser la unidad, por lo que debe cumplirse

$\displaystyle \mathcal{Q}(T,\mu,V) = \sum^\infty_{N_s=0} \sum_{E_r} \Omega(E_r,N_s) \ensuremath{\mathrm{e}^{-\beta E_r + \beta \mu N_s}} $

ésta es la función de partición macrocanónica.

Una variable útil para escribir la función de partición es la fugacidad $ z := \ensuremath{\mathrm{e}^{\mu \nu}} := \ensuremath{\mathrm{e}^{-\alpha}} $ . La función de partición queda

$\displaystyle \mathcal{Q}(T,\nu,V) = \sum^\infty_{N_s=0} z^{N_s} \sum_{E_r} \Om...
... \ensuremath{\mathrm{e}^{-\beta E_r}} = \sum^\infty_{N_s=0} z^{N_s} Z(T,V,N_s) $

donde $ Z(T,V,N_s)$ no es más que la función de partición canónica.

4.2 Fluctuaciones y valores medios

Como es habitual en la técnica de la función de partición, se pueden escribir los valores medios y las fluctuaciones como simples derivadas. Para el número de partículas, tenemos que el valor medio se puede expresar de tres formas diferentes

$\displaystyle \left\langle N \right\rangle = \left( k_B T \frac{\partial }{\par...
...ht)_{T,V} = \left( z \frac{\partial }{\partial z} \ln \mathcal{Q}\right)_{T,V} $

por lo que respecta a las fluctuaciones, tenemos

$\displaystyle (\Delta N)^2 = k_B T \left( \frac{\partial }{\partial \mu} \left\...
... \frac{\partial }{\partial \alpha}
\left\langle N \right\rangle \right)_{T,V} $

Este resultado se puede re-interpretar en términos de funciones respuesta desarrollando la derivada respecto el potencial químico en función del volumen específico $ v = V/ \left\langle N \right\rangle $ , es decir
$\displaystyle (\Delta N)^2$ $\displaystyle =$ $\displaystyle k_B T \left( \frac{\partial \left\langle N \right\rangle }{\parti...
...}
= - k_B T \frac{V}{v^2} \left( \frac{\partial v}{\partial \mu}\right)_{T,V} =$  
  $\displaystyle =$ $\displaystyle - k_B T \frac{ \left\langle N \right\rangle ^2}{v} \left(
\frac{\...
..._{T,V}}_{-\kappa_T} = \frac{ k_B T \left\langle N \right\rangle ^2}{V} \kappa_T$  

donde $ \kappa_T$ es la compresibilidad isoterma. De este resultado se ve claramente que $ \Delta N / \left\langle N \right\rangle \to 0$ en el límite termodinámico. Para muchos sistemas, los llamados normales, $ (\Delta N)^2 = \left\langle N \right\rangle $ .

Por cálculos similares se puede demostrar que el valor esperado de la energía es

$\displaystyle \left\langle U \right\rangle = - \left( \frac{\partial }{\partial...
...z,V} = k_B T^2 \left( \frac{\partial }{\partial T} \ln\mathcal{Q}\right)_{z,V} $

Por otra parte, las fluctuaciones son

$\displaystyle (\Delta U)^2 = - \left( \frac{\partial }{\partial \beta} \left\la...
...le N \right\rangle } \left\langle E \right\rangle \right)^2_{T,V} (\Delta N)^2 $

4.3 Colectividad macrocanónica y termodinámica

La termodinámica nos asegura que para una situación de equilibrio con un baño térmico y un reservoir de partículas existe un potencial privilegiado: el gran potencial

$\displaystyle \Xi(T,\mu,V) = U - T S - \mu N$

Además, se demuestra que para el sistema hidrostático se tiene $ \Xi = - p V $ .

De la termodinámica sabemos, también, que la entropía se puede escribir como una simple derivada del gran potencial

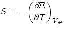
$\displaystyle S = - \left( \frac{\partial \Xi}{\partial T} \right)_{V,\mu} $

Por analogía con la colectividad canónica postulamos la relación

$\displaystyle \Xi(T,\nu,V) = - k_B T \ln \mathcal{Q}$

Naturalmente este postulado deberá contrastarse experimentalmente para ser considerado cierto.

La ecuación de estado se obtiene eliminando el potencial químico entre la definición del gran potencial y la ecuación del número medio de partículas. El resto de magnitudes termodinámicas se obtienen a partir de la entropía $ S(N,T,V)$ , donde tenemos que haber eliminado el potencial químico.

4.4 Equivalencia entre colectividades

Tal y como hemos demostrado anteriormente, las fluctuaciones respecto de la media son muy pequeñas tanto para la energía como para el número de partículas. Por lo tanto, en el sumatorio que da lugar a la función de partición prácticamente solamente contribuirán los valores $ E^*$ y $ N^*$ para los cuales la probabilidad es máxima, i.e

$\displaystyle \mathcal{Q}\approx \Omega(E^*,N^*)
\ensuremath{\mathrm{e}^{-\beta E^* + \beta N^* \mu}} $

y, por tanto, el gran potencial será

$\displaystyle \Xi = - k_B T \ln \mathcal{Q}\approx - k_B T \Big(\ln
\Omega^* -...
...ta E^* + \beta N^* \mu \Big) = - k_B T \ln\Omega^* + E^* - N^* \mu = -TS+U-N\mu$

que es justamente la definición del gran potencial. Esta es una prueba más de que, en el límite termodinámico, nuestro postulado sobre el gran potencial es correcto.

4.5 Sistemas ideales

Anteriormente hemos visto que podemos escribir la función de partición grancanónica de la guisa

$\displaystyle \mathcal{Q}(T,V,\mu) = \sum_{N_s}
z^{N_s} Z(T,V,N_s) $

Si el sistema esta compuesto por $ N_s$ partículas idénticas, indistinguibles, según la corrección de Gibbs se puede escribir

$\displaystyle Z(T,V,N_s) = \frac{1}{N!} Z_1^{N_s}(T,V) $

Por tanto, la función de partición macrocanónica se puede escribir

$\displaystyle \mathcal{Q}(T,V,\mu) =
\sum_{N_s} \frac{1}{N_s!} ( z Z_1 )^{N_s} = \ensuremath{\mathrm{e}^{z Z_1}}$

donde hemos empleado la serie de Taylor de la exponencial. Por último, en caso de partículas idénticas e indistinguibles se puede escribir el gran potencial como

$\displaystyle \Xi = - k_B T z Z_1 $

Si las partículas están localizadas no procede utilizar la corrección de Gibbs i, por tanto, la función de partición resulta ser

$\displaystyle \mathcal{Q}(T,V,\mu) = \sum_{N_s}( z Z_1 )^{N_s} = \frac{1}{1-z Z_1}$

y el gran potencial queda

$\displaystyle \Xi = k_B T \ln(1-z Z_1)$

Dado que el logaritmo solamente está definido real para valores positivos, tenemos una cota sobre el potencial químico, $ \vert z Z_1\vert < 1$ .

5. Estadística cuántica

5.1 Introducción

En mecánica cuántica se pueden calcular los valores esperados de un operador $ \hat{A}$ en un estado cualquiera $ \left\vert \psi \right\rangle $ según las fórmulas habituales
$\displaystyle \left\langle \hat{A} \right\rangle$ $\displaystyle =$ $\displaystyle \Braket{ \psi \vert \hat A \vert \psi }$  
$\displaystyle \left\langle \hat{A}^2 \right\rangle$ $\displaystyle =$ $\displaystyle \Braket{ \psi \vert \hat A^2 \vert \psi }$  
$\displaystyle ( \Delta \hat{A})^2$ $\displaystyle =$ $\displaystyle \left\langle \hat A^2 \right\rangle - \left\langle \hat A \right\rangle ^2$  

Una manera alternativa de realizar estos cálculos consiste en introducir una operador matriz densidad $ \hat{\rho}$ de forma que los valores esperados se pueden escribir en forma de traza, i.e

$\displaystyle \left\langle \hat A \right\rangle = \ensuremath{\mathrm{tr}}( \ha...
...t{\rho}) = \sum_i \Braket{ \varphi_i \vert \hat A \hat{\rho} \vert \varphi_i } $

donde $ \left\vert \varphi_i \right\rangle $ es una base cualquiera del espacio de Hilbert. Si suponemos que la matriz de densidad es un observable (es decir, autoadjunto $ \hat{\rho}^\dag = \hat{\rho}$ ) debe admitir una expresión diagonal del tipo

$\displaystyle \hat{\rho}= \sum_i \omega_i \Ket{i} \Bra{i} $

Las constantes $ \omega_i$ se pueden interpretar como la probabilidad de cada estado $ \left\vert i \right\rangle $ . La condición de normalización se puede demostrar considerando el valor esperado del operador identidad

$\displaystyle \left\langle \hat I \right\rangle =1$ $\displaystyle =$ $\displaystyle \ensuremath{\mathrm{tr}}(\hat{\rho}) = \sum_j \Braket{ j \vert \h...
...ega_i \big\vert \left\langle i \right\vert \left. j \right\rangle \big\vert^2 =$  
  $\displaystyle =$ $\displaystyle \sum_{i ,j} \omega_i \delta_{ij} = \sum_i \omega_i$  

En equilibrio, la matriz de densidad no debe ser función, pero si debe depender de las variables del sistema. La única constante del movimiento que cumple estas condiciones es el hamiltoniano, es decir

$\displaystyle \hat{\rho}= f \Big( \hat H \Big) $

5.2 Colectividades cuánticas

Microcanónica

En la microcanónica cuántica todos los estados deben ser equiprobables i, por tanto, todos los $ \omega_i$ deben ser iguales. Por tanto,

$\displaystyle \omega_i = \frac 1 \Omega \quad , \quad \forall i $

donde $ \Omega $ es el número de microestados.

Sin embargo, estos resultados no nos ayudan a imponer las condiciones de simetría i antisimetría de las funciones de onda, ya que no sabemos cual es la base adecuada del espacio de Hilbert.

Canónica

Definimos la matriz de densidad, por comparación con la probabilidad en la canónica, de la manera siguiente:

$\displaystyle \hat{\rho}= \frac{\ensuremath{\mathrm{e}^{-\beta \hat H}}}{Z_N} $

Si imponemos la condición de que la traza debe ser igual a la unidad, teniendo en cuenta que los estados propios de la matriz densidad lo son también de la energía, tenemos

$\displaystyle \ensuremath{\mathrm{tr}}( \hat{\rho}) = \sum_i \Braket{ i \vert \...
...} \vert i } = \sum_i \frac{\ensuremath{\mathrm{e}^{-\beta \hat E_i}}}{Z_N} = 1 $

de donde

$\displaystyle Z_N = \ensuremath{\mathrm{tr}}\left( \ensuremath{\mathrm{e}^{-\beta H}} \right) = \sum_i \ensuremath{\mathrm{e}^{-\beta E_i}}$ (5.1)

que es la misma definición de la función de partición canónica. Sin embargo, continuamos sin poder encontrar la base que implemente las condiciones de coherencia.

Macrocanónica

En este caso, tenemos dos operadores $ \hat H$ i $ \hat N$ . Normalmente, el hamiltoniano no afectara al número de partículas, es decir

$\displaystyle \left[ \hat H , \hat N \right] = 0 $

i, por tanto, podemos encontrar una base donde los dos toman forma diagonal, i.e
$\displaystyle \hat H \left\vert i \right\rangle$ $\displaystyle =$ $\displaystyle E_i \left\vert i \right\rangle$  
$\displaystyle \hat N \left\vert i \right\rangle$ $\displaystyle =$ $\displaystyle N_i \left\vert i \right\rangle$  

La matriz densidad vendrá dada por la misma expresión que en la canónica nos da la probabilidad, es decir

$\displaystyle \hat{\rho}= \frac{ \ensuremath{\mathrm{e}^{-\beta(\hat H - \mu \hat N)}} } \mathcal{Q}$

i, por tanto, la función de partición macrocanónica toma la forma ya conocida

$\displaystyle \mathcal{Q}= \ensuremath{\mathrm{tr}}\left( \ensuremath{\mathrm{e...
... \mu \hat N)}} \right) = \sum_i \ensuremath{\mathrm{e}^{-\beta(H_i - \mu N_i)}}$ (5.2)

Más adelante veremos que el hecho de tener la libertad del número de partículas nos facilita la introducción de las condiciones de coherencia.

5.3 Sistemas de partículas idénticas

5.3.1 Condiciones de coherencia

Un sistema estará compuesto de partículas idénticas si no existe ningún observable que distinga dos partículas. Esto es lo mismo que decir que el hamiltoniano $ \hat H$ ha de conmutar con el operador de permutación $ \hat P_{ij}$ , es decir

$\displaystyle \left[ \hat H , \hat P_{ij} \right] = 0 \quad \textrm{donde} \qua...
...at P_{ij} \hat H(\ldots i \ldots j \ldots) = \hat
H(\ldots j \ldots i \ldots) $

Los estados propios del hamiltoniano lo serán también del operador de permutación, es decir

$\displaystyle \hat H \left( \hat P_{ij} \left\vert \psi \right\rangle \right) =...
...psi \right\rangle = E \left( \hat P_{ij} \left\vert \psi \right\rangle \right) $

Dado que $ \hat P_{ij} \hat P_{ij} = \hat I $ i que la permutación es un operador autoadjunto tenemos
$\displaystyle \Braket{ \psi \vert \hat P_{ij} \hat P_{ij} \vert \psi }$ $\displaystyle =$ $\displaystyle \Braket{ \psi \vert \hat I \vert \psi } = \big\vert \left\vert \psi \right\rangle \big\vert^2$  
  $\displaystyle =$ $\displaystyle \left( \hat P_{ij} \left\vert \psi \right\rangle \right)^* \left(...
...le \right) = \left\vert \hat P_{ij} \left\vert \psi \right\rangle \right\vert^2$  

i, por tanto, los valores propios tendrán modulo unidad. Por ser un operador autoadjunto, tenemos

$\displaystyle \hat P_{ij} \left\vert \psi \right\rangle = \pm \left\vert \psi \right\rangle$ (5.3)

El siguiente teorema nos dice que tipo de partículas cumplen la igualdad con signo positivo y cuales con signo negativo.

Teorema 5.3.1 (conexión spin-estadística)   Llamaremos $ s$ al spin de cada partícula, tenemos
Bosones:
Son las partículas con spin enero $ s = 0, 1, 2, \ldots$ . Sus funciones de onda son simétricas, es decir, cumplen la igualdad 5.3 con signo positivo, i.e

$\displaystyle \hat P_{ij} \left\vert \psi \right\rangle = \left\vert \psi \right\rangle $

Los bosones siguen la estadística de Bose-Einstein.
Fermiones:
Son las partículas con spin semimpar $ s = \frac 1 2, \frac 3 2, \frac 5 2, \ldots$ . Sus funciones de onda son antisimétricas, es decir, cumplen la igualdad 5.3 con signo negativo, i.e

$\displaystyle \hat P_{ij} \left\vert \psi \right\rangle = - \left\vert \psi \right\rangle $

Los fermiones siguen la estadística de Fermi-Dirac.

5.3.2 Principio de exclusión de Pauli para fermiones

Denotaremos, en general, las coordenadas de cada partícula por $ \xi_i$ . Sea $ \psi(\ldots, \xi_i, \ldots, \xi_j, \ldots)$ la función de onda de un conjunto de $ N$ fermiones. De la condición de antisimetría tenemos

$\displaystyle \hat P_{ij} \psi(\ldots, \xi_i, \ldots, \xi_j, \ldots) = \psi(\ld...
... \xi_j, \ldots, \xi_i, \ldots) =
- \psi(\ldots, \xi_i, \ldots, \xi_j, \ldots) $

Si $ \xi_i = \xi_j $ esta última igualdad implica que la función de onda debe ser nula. Dado que $ \psi = 0$ no es una solución físicamente aceptable debemos exigir que, para un sistema de fermiones todas las coordenadas generalizadas $ \xi_i$ sean diferentes. Es decir, todos los fermiones deben ocupar estados diferentes. Este es el principio de exclusión de Pauli.

5.3.3 N partículas idénticas i libres

Para un sistema de $ N$ partículas idénticas i libres podemos descomponer el hamiltoniano como suma de hamiltonianos monoparticulares

$\displaystyle H = \sum_i H_i \quad , \quad H_i \varphi_{\epsilon_i}(\xi_i) = \epsilon_i \varphi_{\epsilon_i} (\xi_i) $

donde $ \varphi_{\epsilon_i) (\xi_i}$ es la función de onda de $ H_i$ con energía $ \epsilon_i$ (estado propio de energía monoparticular). La función de onda de las $ N$ partículas se puede escribir como producto directo de las funciones de onda para cada partícula, i.e

$\displaystyle \psi_{\epsilon_1\cdots\epsilon_N} (\xi_1 ,\ldots ,\xi_N ) = \varphi_{\epsilon_1} (\xi_1) \cdots \varphi_{\epsilon_N} (\xi_N) $

Esta función es propia del hamiltoniano total, pero no implementa las condiciones de coherencia. Podemos escribir la función de onda de un sistema de N fermiones o bosones como combinación lineal de funciones de onda de este tipo.

Para los fermiones, debemos escribir la función de onda como una combinación antisimétrica de los niveles mono particulares, es decir

$\displaystyle \psi^A = \frac1{\sqrt{N!}} \sum_{P \in S_N} (-1)^{\sigma(P)} \varphi_{\epsilon_1} (\xi_{P(1)}) \cdots \varphi_{\epsilon_N}
(\xi_{P(N)}) $

donde $ S_N$ es el espacio de las permutaciones de $ N$ elementos y $ \sigma(P)$ es el signo de la permutación $ P$ . El prefactor $ 1 /
\sqrt{N!}$ asegura la normalización de la función de onda. Esta función de onda se puede escribir también mediante el determinante de Slater (colocando los niveles energéticos por filas y partículas por columnas):

$\displaystyle \psi^A = \frac1{\sqrt{N!}}
\begin{vmatrix}
\varphi_{\epsilon_1}...
...\epsilon_N} (\xi_1) & \cdots & \varphi_{\epsilon_N} (\xi_N) \\
\end{vmatrix} $

Para los bosones la función de onda simétrica, ya normalizada,resulta ser

$\displaystyle \psi^S = \sqrt{ \frac1{N! \cdot n_1! n_2! \cdots n_N!} } \sum_{P ...
...N} \varphi_{\epsilon_1} (\xi_{P(1)}) \cdots
\varphi_{\epsilon_N} (\xi_{P(N)}) $

donde $ n_i$ es el número de ocupación del nivel $ \epsilon_i$ . Naturalmente,

$\displaystyle N = \sum_i n_i $

Con estas funciones de onda se pueden calcular las correspondientes funciones de partición, según la definición 5.1. Se puede demostrar que, en general, se cumplen las desigualdades

$\displaystyle Z^{B-E} \ge Z^{M-B} \ge Z^{F-D} $

donde la función de partición en la estadística de Maxwell-Boltzman se calcula sin tener en cuenta fenómenos cuánticos, pero incluyendo el factor de Gibbs

$\displaystyle Z^{M-B}(T,V,N) = \frac1{N!} \left( \sum_{E_r} \ensuremath{\mathrm{e}^{-\beta E_r}} \right)^N$ (5.4)

5.4 Función de partición del sistema de N partículas

Para los sistemas de Maxwell-Boltzman podemos obtener la función de partición en la colectividad canónica según la expresión 5.4. En cambio, no es sencillo calcular la función de partición para las estadística de Bose-Einstein y de Fermi-Dirac en la colectividad canónica. Para poder proseguir, debemos pasara la colectividad macrocanónica.

Si el hamiltoniano no crea ni destruye partículas, $ \left[ \hat H , \hat N \right] = 0$ , podemos encontrar una base $ \left\vert \psi \right\rangle $ propia de los operadores $ \hat N$ y $ \hat H$ a la vez. Sobre esta base, el factor de la macrocanónica actuará trivialmente, i.e

$\displaystyle \ensuremath{\mathrm{e}^{-\beta( \hat H - \mu \hat N)}} \left\vert...
...e = \ensuremath{\mathrm{e}^{-\beta (E - \mu N)}} \left\vert \psi \right\rangle $

Por construcción, $ \left\vert \psi \right\rangle $ se construirá como producto directo de las funciones de onda monoparticulares. Por lo tanto, se cumplirán las relaciones siguientes

$\displaystyle N = \sum_i n_i \quad , \quad E = \sum_i n_i \epsilon_i $

Donde $ n_i$ son los números de ocupación para cada estado. Para los fermiones, $ n_i$ solo puede ser 0 o $ 1$ ; mientras que para los bosones puede tomar cualquier valor.

En consecuencia, la función de partición macrocanónica se puede escribir, según 5.2,

$\displaystyle \mathcal{Q}(T, \mu, V) = \ensuremath{\mathrm{tr}}\left( \ensurema...
...\}} \prod_j \left( \ensuremath{\mathrm{e}^{-\beta \epsilon_j}} z \right)^{n_j} $

donde $ z := \ensuremath{\mathrm{e}^{\beta \mu}}$ . El sumatorio se extiende, en principio, a todos los conjuntos de enteros $ \{n_i\}$ que cumplen las condiciones de coherencia. Si suponemos que se puede conmutar el sumatorio con el productorio, el sumatorio se extenderá tan solo al $ n_j$ correspondiente a cada factor del productorio, es decir,

$\displaystyle \mathcal{Q}(T, \mu, V) = \prod_j \sum_{n_j} \left( \ensuremath{\mathrm{e}^{-\beta \epsilon_j}} z \right)^{n_j} $

Vemos que se puede descomponer como el producto de funciones de partición $ \mathcal{Q}_i$ para cada estado

$\displaystyle \mathcal{Q}(T, \mu, V) = \prod_j \mathcal{Q}_j \qquad \textrm{don...
...= \sum_{n_j}\left( \ensuremath{\mathrm{e}^{-\beta \epsilon_j}} z \right)^{n_j} $

Si queremos particularizar al caso de los bosones debemos realizar el sumatorio desde $ n_j = 0$ hasta $ n_j = \infty$ . La serie, que resulta ser geométrica, puede sumarse5.1 fácilmente para obtener

$\displaystyle \mathcal{Q}_j^\textrm{B-E} = \frac1{1-z \ensuremath{\mathrm{e}^{-\beta \epsilon_j}}} $

donde, para garantizar la convergencia de la serie, debemos exigir

$\displaystyle \left\vert \ensuremath{\mathrm{e}^{-\beta (\epsilon_j - \mu)}} \right\vert < 1 \qquad , \quad \mu < \epsilon_j  ,  \forall j $

i, en concreto, el potencial químico ha de ser menor que el más pequeño de los estados energéticos (el estado fundamental del sistema), $ \mu < \epsilon_0$ .

Por otra parte, en el caso de los fermiones, los números de ocupación, por el principio de exclusión, $ n_j \le 1$ i, por tanto,

$\displaystyle \mathcal{Q}_j^\textrm{F-D} = 1 + z \ensuremath{\mathrm{e}^{- \beta \epsilon_j}} $

Por último, recordemos que para las partículas clásicas (indistinguibles), la función de partición se puede escribir de la forma

$\displaystyle \mathcal{Q}^\textrm{M-B} = \ensuremath{\mathrm{e}^{ z Z_1 }} \quad , \qquad Z_1 = \sum_r \ensuremath{\mathrm{e}^{-\beta \epsilon_r }} $

Se pueden escribir todas estas fórmulas de forma unificada de la forma siguiente

$\displaystyle q := \ln \mathcal{Q}= \frac 1a \sum_j \ln \left( 1 + a z \ensure...
...left( 1 + a z\
 \ensuremath{\mathrm{e}^{-\beta \epsilon_j}} \right)^{\frac 1 a}$ (5.5)

donde

$\displaystyle a = \left\{
\begin{array}{cl}
-1 & \textit{bosones} \\
1 & \textit{fermiones} \\
0 & \textit{partículas clásicas} \\
\end{array} \right. $

Para el caso de fermiones y bosones, con estos valores de $ a$ , la ecuación 5.5 se reduce a las expresiones esperadas. Para las partículas de Maxwell-Boltzman, desarrollando por Taylor el logaritmo5.2, tenemos

$\displaystyle q = \lim_{a\to0} \frac 1a \sum_j \left( a z \ensuremath{\mathrm{...
...a^2) \right) = \sum_j z \ensuremath{\mathrm{e}^{- \beta \epsilon_j}}
= z Z_1 $

que es el resultado esperado.

5.5 Estadística de los números de ocupación

En la notación unificada 5.5 podemos calcular fácilmente el valor esperado del número de partículas

$\displaystyle \left\langle N \right\rangle = z \left( \frac{\partial \ln \mathc...
...)_{V,T} = \sum_j \frac1{{z}^{-1} \ensuremath{\mathrm{e}^{\beta\epsilon_j}} + a}$

Vemos que el valor esperado del número de partículas se puede descomponer como el valor esperado de los números de ocupación

$\displaystyle \left\langle n_j \right\rangle = \frac1{{z}^{-1} \ensuremath{\mat...
...d , \quad \left\langle N \right\rangle = \sum_j \left\langle n_j \right\rangle $

Por otra parte, podemos calcular las fluctuaciones de la forma habitual

$\displaystyle \left( \Delta N \right)^2$ $\displaystyle =$ $\displaystyle \left\langle N^2 \right\rangle - \left\langle N \right\rangle ^2 ...
...gle - \sum_{jk} \left\langle n_j \right\rangle \left\langle n_k \right\rangle =$  
  $\displaystyle =$ $\displaystyle \sum_j \left\langle n_j^2 \right\rangle + \sum_{j\ne k} \left\lan...
...- \sum_{j\ne k} \left\langle n_j \right\rangle \left\langle n_k \right\rangle =$  
  $\displaystyle =$ $\displaystyle \sum_j \Big( \left\langle n_j^2 \right\rangle - \left\langle n_j \right\rangle ^2 \Big) = \sum_j \left( \Delta n_j \right)^2$  

donde hemos usado que los $ n_j$ son independientes y, por tanto, $ \left\langle n_j n_k \right\rangle = \left\langle n_j \right\rangle \left\langle n_k \right\rangle $ . Las fluctuaciones de los numeros de ocupación son, pues

$\displaystyle \left( \Delta n_j \right)^2 = \left( - \frac1\beta \frac{\partial...
...e n_j \right\rangle }{1 + a z \ensuremath{\mathrm{e}^{
-\beta \epsilon_j}} } $

5.6 Límites de la estadística cuántica

5.6.1 Límite clásico

El límite clásico viene dado por

$\displaystyle \left\langle n_j \right\rangle \ll 1 $

donde las tres estadísticas coinciden. Esta condición es equivalente a imponer

$\displaystyle \frac \lambda l \ll 1 $

en donde $ lambda$ es la longitud de onda térmica de De Broglie y $ l$ representa las dimensiones del sistema.

En la demostración rigurosa del límite clásico aparece, de forma natural, el factorial de Gibbs y el factor $ h^{3N}$ , hecho que justifica las hipótesis realizadas en capítulos precedentes.

5.6.2 Límite continuo

En el límite continuo podemos substituir los sumatorios por integrales

$\displaystyle \sum_j a_j \frac{\Delta j}{\Delta \epsilon} \Delta \epsilon \longrightarrow \int^\infty_0 a(\epsilon) g(\epsilon) \ensuremath{\mathrm{d}}\epsilon $

La función $ g(\epsilon)$ nos indica el peso de cada estado.

De esta forma, podemos escribir la función de partición

$\displaystyle q = \ln \mathcal{Q}= \frac 1a \int^\infty_{0^+} \ln \left( 1 + az...
...epsilon) \ensuremath{\mathrm{d}}\epsilon + \frac1a \ln
\left( 1 + a z \right) $

donde hemos incluido el primer termino del sumatorio (el nivel fundamental) para tenerlo en cuenta en los cálculos en aquellas situaciones en que $ g(0) = 0$ .

De idéntica forma, podemos escribir el número medio de partículas

$\displaystyle \left\langle N \right\rangle = \int^\infty_{0^+} \frac{g(\epsilon...
...silon}{{z}^{-1} \ensuremath{\mathrm{e}^{\beta \epsilon}} + a} + \frac z {1+az} $

i la energía

$\displaystyle \left\langle E \right\rangle = \int^\infty_0 \frac{\epsilon g(\e...
...th{\mathrm{d}}\epsilon}{{z}^{-1} \ensuremath{\mathrm{e}^{\beta \epsilon}} + a} $

donde hemos eliminado el término referente al estado fundamental ya que no aporta energía.

Por último, podemos escribir las fluctuaciones

$\displaystyle \left( \Delta N \right)^2 = \int_0^\infty \frac{{z}^{-1} \ensurem...
...lon}{ \left( {z}^{-1}
\ensuremath{\mathrm{e}^{\beta \epsilon}} + a \right)^2} $


Footnotes

... ``reservoir4.1
Diremos que un sistema es un ``reservoir'' de partículas si es capaz de intercambiar tantas partículas con cualquier otro subsistema sin variar su potencial químico.
... sumarse5.1
La suma de la serie geométrica es muy sencilla, para $ \vert r\vert < 1$ tenemos

$\displaystyle \sum_{n=0}^\infty r^n = \frac1{1-r} $

... logaritmo5.2
El desarrollo Taylor del logaritmo neperiano es

$\displaystyle \ln(1+x) = x - \frac{x^2}2 + \frac{x^3}3 - \frac{x^4}4 + \cdots \qquad \textrm{para} \quad -1 < x \le 1 $